code atas


Contoh Surat Sewa Pajak

Poin pertama adalah menyebutkan identitas diri. Akan tetapi di dalam surat perjanjian perlu mencantumkan komponen-komponen seperti.


Pasal 7 Pajak Iuran Dan Pungutan Contoh Surat Perjanjian Sewa Menyewa Tanah2 Fh Uii

Contoh Surat Pernyataan Kegiatan Usaha Untuk NPWP Contoh Surat Nina French Formulir Surat Pernyataan Wajib Pajak Non Efektif.

. Jangan lupa perhatikan betul nomor-nomor. Identitas Kendaraan berupa plat nomor merektype no rangka dan no mesin sesuai STNK. Syarat Surat Perjanjian Sewa Tanah yang Sah.

Selain contoh surat di atas ada pula contoh surat kuasa pajak lain dengan format yang serupa seperti di. Berdasarkan Surat Pemberitahuan Tahunan Pajak Penghasilan tahun pajak 2000 yang disampaikan Wajib Pajak dalam bulan Maret 2001 perhitungan besarnya angsuran pajak yang harus dibayar adalah sebesar Rp 125000000. Sebuah surat perjanjian sewa tanah dianggap sah apabila terdapat syarat syarat berikut.

Yang bertanda tangan di bawah ini. Contoh surat perjanjian jual beli tanah di malaysia doc. Nama Pemilik Kendaraan yang menyewakan Nama Penyewa.

Contoh Surat Perjanjian Sewa Lahan Surat Desain Riwayat Hidup. Surat perjanjian sewa alat mou i. Yang membedakan hanyalah objek yang disewakan yaitu berupa sebuah mobil.

Panduan Hukum Pajak Contoh Surat Perjanjian Sewa Rumah 2021. Berdasarkan Peraturan Menteri Keuangan Republik Indonesia Nomor 229PMK032014 Tentang Persyaratan Serta Pelaksanaan Hak dan Kewajiban Seorang Kuasa terlampir format surat kuasa khusus yang dapat Anda gunakan. Contoh Surat Kuasa Pajak Kendaraan.

Yang menawarkan pinjaman kepada orang-orang yang membutuhkan pinjaman. Segala ongkos dan biaya obyek bangunan dan segala yang melekat di dalamnya seperti Pajak Bumi dan Bangunan PBB dibayar oleh pihak PERTAMA. Terkait font huruf ataupun tata teksnya tidak ada aturan baku yang mengatur.

Pembayaran rekening telepon air selama sewa menyewa ini berlangsung dibebankan kepada PIHAK KEDUA. Contoh Surat Kuasa Lengkap untuk Berbagai Keperluan. PERJANJIAN SEWA MENYEWA MOBIL.

ANDI RAHMAT Tempat Tanggal Lahir. Contoh Surat Kuasa Pajak Bangunan. Contoh surat perjanjian sewa menyewa tanah.

Contoh Surat Kuasa Pajak. Namun yang terpenting adalah surat kuasa harus ditandatangani 2 pihak pemberi dan penerima kuasa. Contoh Surat Wajib Pajak.

Surat ini memperakukan bahawa berhak mengusahakan tanah tersebut dengan tanaman kelapa sawit. Surat rasmi permohonan lot tanah. Contoh Surat Perjanjian Sewa Alat 2022Contoh Surat Perjanjian Sewa Alat.

Contoh surat perjanjian sewa tanah di malaysia. Secara garis besar berikut di antaranya. Contoh Surat Pernyataan Kesanggupan Mengenai kesanggupan atau tidak pada beberapa kasus mungkin bisa disampaikan secara lisan.

SURAT PERJANJIAN SEWA GUDANG. CONTOH SURAT PERJANJIAN SEWA MENYEWA TANAH Yang bertanda tangan di bawah ini. Namun untuk kasus tertentu adakalanya harus menggunakan pernyataan tertulis.

Surat Pernyataan Wajib Pajak Yang Memiliki Peredaran Bruto Tertentu. Komponen surat perjanjian sewa tanah yang satu ini tak wajib untuk dicantumkan. Dan untuk mengunduh Contoh Surat Perjanjian Sewa Tanah silakan klik di sini.

Pajak tanah sawit tanam semula sawit profile picture. Surat perjanjan sewa menyewa tanah ini dibuat rangkap 2 dua. Hal itu diperlukan untuk menghindari kesalahpahaman di kemudian hari.

Contoh Surat Perjanjian Sewa Menyewa Kendaraan Mobil. Masing-masing instansi memiliki format tersendiri untuk pembuatan surat kuasa pajak. Pada hari ini hari tanggal bulan tahun telah terjadi Perjanjian Sewa.

176 Makassar Sulawesi Selatan No. Kumpulan Surat Perjanjian Sewa Pajak Tanah Sawah 2016 dan Surat Perjanjian Sewa Pajak Tanah Sawah 2016 yang bisa anda download secara. Tanah Kebun For Sale Www Tanahkebun Com Kebun Tanah.

Find tips tools and how-to guides on every aspect of property. Kendaraan yang disewakan dapat berupa Sepeda Motor dan Mobil. Surat dibuat secara ikhlas dan tanpa paksaan di antara penyewa dan yang menyewakan.

Sepanjang tempoh pajakan ini tuan punya tanah pewaris tidak. Sekian mengenai ulasan lengkap perihal surat perjanjian sewa tanah dan contohnya. Lihat 2 contoh surat perjanjian sewa rumah untuk memahami isi dan peraturan sesuai hukum yang berlaku di Indonesia.

Pengertian Surat Ketetapan Pajak Kurang Bayar SKPKB Berdasarkan Peraturan Menteri Keuanngan Republik Indonesia Nomor 145PMK032012 Surat Ketetapan Pajak Kurang Bayar adalah surat ketetapan pajak yang menentukan besarnya jumlah pokok pajak jumlah kredit pajak jumah kekurangan pembayaran pajak besarnya sanksi administrasi dan jumlah pajak. Clara Abigail 1 Oktober 2021 Dokumen. Hal yang penting yang harus ada dalam surat perjanjian ini adalah.

Format Surat Perjanjian Sewa Tanah. Namun lebih baik bila pihak yang akan menyewakan tanahnya mengetahui untuk apa tanah tersebut digunakan nantinya. Baik bagi penyewa atau pemilik rumah juga harus saling memahami dan menyetujuinya.

Makassar 18 Januari 1970. Surat perjanjian sewa tanah umumnya dibuat menggunakan kertas A4 F4 atau folio. Sedangkan pajak wajib tetap dibayar oleh PIHAK PERTAMA.

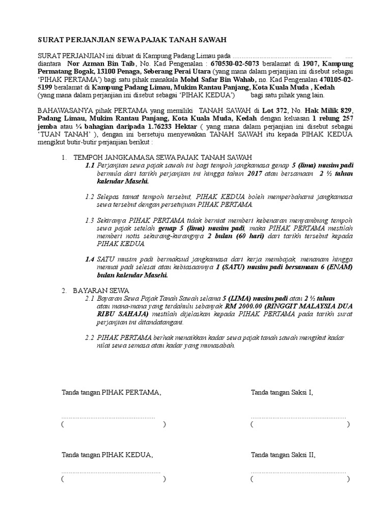
Kami memberikan pinjaman untuk proyek bisnis pajak Hutang tagihan dan banyak alasan lainnya. Contoh surat perjanjian sewa pajak tanah sawah by norazman0taib. Singkatan dari surat pemberitahuan pajak terutang pajak bumi dan cara.

Kerusakan yang umbul atas obyek sewa perabotan dan peralatan pada pasal l menladi. Kesanggupan membayar pajak dan lainnya. Menulis surat pernyataan kesanggupan bukanlah hal yang susah.

Contoh sertifikat tanah asli dan. Hal yang paling sulit adalah. Contoh Surat Kuasa Pajak SPT.

Seperti surat perjanjian lainnya tentu saja terdapat beberapa parameter yang perlu diperhatikan ketika menyusun Surat Perjanjian Sewa Mobil yang Baik dan Benar ini. 081211111111 Selanjutnya dalam surat perjanjian ini akan disebut sebagai PIHAK PERTAMA selaku Pemilik. Contoh surat perjanjian sewa tanah malaysia dapatkan contoh.

A short summary of this paper. Apabila terjadi kelambatan pembayaran angsuran dari pembeli sewa sesuai pasal 3 ayat 1 dan 2 surat perjanjian ini maka pembeli sewa harus membayar dan. Isi surat harus bisa dimengerti dan dipahami oleh kedua belah pihak baik penyewa maupun pemilik.

4 surat perjanjian sewa menyewa tanah. Kondisi objek pajak. Jalan Poros Maros Makassar no.


Contoh Surat Perjanjian Sewa Menyewa Haidar Junior Academia Edu


Surat Perjanjian Sewa Pajak Tanah Sawah 2016 Pdf


4 Surat Perjanjian Sewa Menyewa Tanah


Contoh Surat Perjanjian Sewa Menyewa Rumah1

You have just read the article entitled Contoh Surat Sewa Pajak. You can also bookmark this page with the URL : https://donavanecmassey.blogspot.com/2022/07/contoh-surat-sewa-pajak.html

0 Response to "Contoh Surat Sewa Pajak"

Post a Comment

Iklan Atas Artikel


Iklan Tengah Artikel 1

Iklan Tengah Artikel 2

Iklan Bawah Artikel